
サンプルサイズ 計算方法をやさしく解説|信頼できるアンケート設計が今日からできる実践ガイド
はじめて調査を設計するとき、多くの方が悩むのが「何人に回答してもらえば、信頼できる結果になるのか」という点です。
サンプルサイズを何となく決めてしまうと、結果の信頼性が低下したり、コストや時間を無駄にしてしまうことがあります。
この記事では、サンプルサイズの基本的な考え方から計算式、実際の現場での使い方までを、初心者の方にもわかりやすく丁寧に解説します。
統計の専門知識がなくても理解できるよう、数式もやさしく説明していますので、安心して読み進めてください。
▼ アンケート設計から回答の回収・分析・共有までをワンストップで行えるフォーム作成ツールならformrun!
アンケートの設計や集計をしていると、「もっと簡単に回収や整理ができたら…」と感じることはありませんか?そんなときに役立つのが、formrun(フォームラン)です。
formrunは、誰でもかんたんにアンケートフォームを作成できるツールで、回答結果を自動で整理・可視化してくれるため、集計作業の手間を大幅に減らせます。
デザインテンプレートやタグ機能なども充実しており、専門知識がなくても「きれいで使いやすいフォーム」がすぐに作れます。
調査やキャンペーンなど、はじめてのフォーム運用でも安心して始められるのがformrunの魅力です。
目次[非表示]
サンプルサイズとは?基本を理解しましょう

サンプルサイズの意味
サンプルサイズとは、調査や実験でデータを集める対象の人数(または件数)を指します。
全員を調べるのは非現実的なため、母集団を代表する一部を抽出し、その結果から全体を推測します。
このとき、サンプルサイズが適切でないと、得られた結果に偏りが生じることがあります。少なすぎると誤差が大きくなり、多すぎるとコストや時間がかかりすぎてしまうのです。
サンプルサイズとサンプル数の違い
「サンプルサイズ」と「サンプル数」は似ていますが、意味が異なります。
サンプルサイズは「計画段階で必要とされる目標人数」、サンプル数は「実際に回収できた回答数」を示します。
たとえば「500人の回答が必要」と設計したうえで、実際に450人から回答を得た場合、サンプルサイズは500、サンプル数は450です。
計画時と実施時でこの2つを混同しないように注意しましょう。
▼ サンプルサイズ計算の背景にある標本誤差や信頼度の仕組みを詳しく理解したい方は、こちらの記事もおすすめです。
>>アンケート サンプル数 計算|標本誤差・信頼度からわかる適切な有効回答数の目安とは?
適切なサンプルサイズがもたらす3つの効果
- 信頼できる結果を得られる代表性の高いデータが得られ、全体の傾向をより正確に推測できます。
- 誤差を小さくできる十分なサンプルを集めることで、偶然のばらつきによる誤差が減り、有意な差を発見しやすくなります。
- コストと精度のバランスを取れる目的に合った規模で設計すれば、過剰なコストをかけずに信頼できる結果を得られます。
サンプルサイズを決める3つの要素

サンプルサイズの計算には、次の3つの要素が欠かせません。
1. 信頼水準
信頼水準とは、「どれくらいの確率で真の値を含むか」を表す指標です。
一般的には95%または99%が使われます。信頼水準を高くするほど必要なサンプル数は増えます。
信頼水準 | Z値(Zスコア) |
|---|---|
90% | 1.645 |
95% | 1.960 |
99% | 2.576 |
2. 許容誤差(誤差範囲)
許容誤差とは、「結果が真の値からどの程度ズレても良いか」という範囲のことです。
誤差を小さく設定するとサンプル数が増え、誤差を大きくするとサンプル数は少なくて済みます。
たとえば±3%や±5%がよく使われます。
3. 標準偏差または出現率
データのばらつきを示す指標です。比率を扱う調査では「出現率(p)」と呼びます。 ばらつきが大きいほど必要サンプル数が増えます。出現率がわからないときは、安全側に見積もってp=0.5を使いましょう。
基本の計算式と具体例

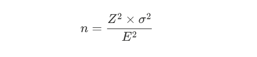
連続値の推定で使う式

n:必要サンプル数
Z:信頼水準に対応するZ値
σ:標準偏差
E:許容誤差
例:
信頼水準95%、標準偏差10、許容誤差2の場合
n = (1.96² × 10²) / 2² ≒ 96人
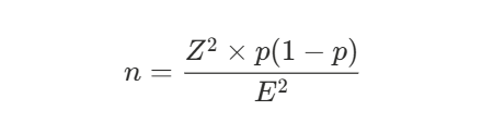
比率(割合)を扱う場合

p:予想される割合(出現率)
例1:信頼水準95%、誤差±5%、p=0.5 → 約385人
例2:信頼水準95%、誤差±3%、p=0.5 → 約1,067人
誤差を狭く設定するほど、必要サンプルは増加します。
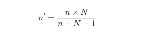
有限母集団補正で現実的な数に調整
母集団が小さい場合、次の式で補正します。

(N:母集団の大きさ)
例:
N=500、n=385
n’ = (385×500)/(385+500−1) ≒ 217人
母集団が数百〜数千人程度の場合、この補正を必ず行いましょう。
セグメント設計と出現率の考慮

分析を年代・性別・職種などの セグメント単位で行う場合、各グループに十分な人数を確保する必要があります。
目安: 1セルあたり30〜50人
- セル数×最低数 と、計算式から出たnを比較し、大きい方を採用
- 出現率が低い層はブースト回収し、後でウェイト調整で補正
実務で役立つサンプル設計の進め方
- 調査の目的と分析軸を明確にします。
- 信頼水準・許容誤差・出現率を設定します。
- 基本式でサンプルサイズを求めます。
- 有限母集団補正を行います。
- 分析軸ごとのセル最低数を考慮します。
- 想定回収率をもとに、配信数を逆算します。
この流れで設計すれば、無理のない調査規模を見積もることができます。
アンケートの設計から回収までをスムーズにするならformrunがおすすめ
アンケートを設計しても、いざ「フォームを作る」「回答を集める」「結果を整理する」となると、意外と時間がかかってしまうものです。 フォーム作成ツールformrun(フォームラン)なら、これらの工程をひとつのツールでまとめて行うことができます。
テンプレートを使って簡単にフォームを作成し、回答を自動で整理・可視化。回答の一覧化画面から条件に合った回答だけを抽出して分析することも可能です。
アンケート回答の集計も自動でできる
アンケートを回収したあとの 集計作業は、時間がかかりがちですよね。
formrun(フォームラン)なら、 回答データを自動で集計し、グラフや一覧を自動生成します。表やグラフを自分で作る必要はなく、キャプチャを貼るだけで社内共有まで完了。
進捗はリアルタイムで確認でき、 どの層が不足しているかもすぐに把握できます。回収状況を見ながら追加配信やブースト調整を行えるため、調査の精度が高まります。
また、 Googleスプレッドシート連携やExcel出力にも対応しており、分析もスムーズ。設計から報告までをワンツールで完結できるのがformrunの強みです。
まずは14日間の無料トライアルで、 “設計から集計まで一気通貫”の便利さを体験してみてください。
EFO(入力支援機能)で回答者の離脱を防げる
フォームの入力途中で離脱されてしまうと、せっかくのサンプルが集まりません。
formrunのEFO機能(入力支援機能)は、 残項目数の表示・リアルタイムエラー表示・途中保存など、回答者の入力ストレスを大幅に減らす工夫が満載です。
「あとどれくらいで終わるのか」が一目でわかるため、最後まで入力されやすくなります。
入力ミスも自動検知されるので、 データの正確性も同時にアップ。結果として、 回答完了率の向上=サンプル確保のスピードアップにつながります。
EFO機能は一般的に導入に約30,000円かかることが多いのに対し、formrunなら初期費用ゼロで、月額3,000円〜利用可能。
ぜひformrunでEFO機能を導入し、フォーム通過率アップを実感してください。
条件分岐で質問を出し分け可能
アンケートの質問が多すぎると、回答者が途中で離脱しがちです。
formrunの 条件分岐機能を使えば、回答内容に合わせて次の質問を自動で出し分け可能。「必要な質問だけを表示」することで、フォームを短く・分かりやすく保てます。たとえば「購買経験あり」と答えた人だけに詳細質問を表示する、そんな設計もノーコードで実装できます。
この仕組みにより、 回答負担を減らしながら精度の高いデータを収集できます。さらに、条件分岐は 無料プランでも利用可能。導入コストもかかりません。
使いやすさと回答率の両立を実現する機能です。
信頼できる調査は「ちょうどよい」サンプルから始まる

サンプルサイズの計算は、単に数字を出す作業ではなく、「精度・コスト・目的のバランス」を設計するための重要なプロセスです。
調査の目的に応じて、信頼水準・許容誤差・出現率(または標準偏差)を明確に設定し、必要に応じて有限母集団補正やセグメント別の人数調整を行うことで、信頼性が高く、再現性のあるデータ設計が可能になります。
また、設計時には「サンプルは多ければ良い」という考えにとらわれず、目的に見合った“ちょうどよい”規模感を見極めることが大切です。 過剰なサンプルはコストを押し上げる一方で、実務では「扱いきれないデータ」を生むこともあります。
現場で成果を出すアンケート調査に共通しているのは、
- 明確な目的設定
- 適切なサンプル設計
- 迅速で正確な回収・分析体制 この3つが揃っていることです。
▼ アンケート調査を効率化し、分析体制を整えるならformrun
アンケート設計をしっかり整えても、「回答を集める」「データを整理する」「チームで共有する」場面では、どうしても手間がかかります。
そんなときは、formrun(フォームラン)を活用してみてください。直感的な操作でフォーム作成から回答回収・共有までを一つにまとめられるので、難しい設定や専門知識がなくても、すぐに実務に活かせます。
メール通知や自動集計、CSV出力など、日々の業務を支える機能も揃っています。
調査の準備や管理を効率化しながら、 より信頼できるデータを集められる環境を整えましょう。
よくある質問(FAQ)

Q1. 出現率がわからないときはどうすればいいですか?
出現率が不明な場合は、最もばらつきが大きくなるp=0.5を使って計算しましょう。
これは最も安全側の設計方法です。予備調査を行っておおよその比率を把握できれば、サンプル数を少し減らすこともできます。
まずは安全側で見積もり、実施の中で調整していくことが大切です。
Q2. 回収率が低くて目標サンプルに届かないときは?
想定よりも回答が集まらない場合は、スクリーニング条件を緩めるか、リマインド配信を行いましょう。
また、回収状況をリアルタイムで把握できるツールを使うと、早い段階で対策を取ることができます。
formrunなら、回答率を可視化して追加配信の判断をスムーズに行えます。
Q3. セルごとの人数はどれくらい確保すべきですか?
セグメント分析を行う場合、1セルにつき30〜50人を目安にすると安定した比較ができます。
差の有無を厳密に検証したい場合は、効果サイズを考慮してサンプルを増やすと良いでしょう。
全体数とセル数のバランスを取りながら、比較可能な設計にしていきます。
Q4. 有限母集団補正はいつ使いますか?
母集団が小さい場合に使用します。たとえば従業員500人の社内調査などでは、補正を行うことで現実的な目標数に調整できます。
全体が数千人以下のときは、補正の影響が大きくなるため、積極的に活用すると良いでしょう。
補正を行うときは、母集団の人数を正確に把握しておくことがポイントです。
Q5. サンプルが多いほど良いのではないですか?
確かにサンプルを増やせば誤差は小さくなりますが、同時にコストと期間も増えます。
また、サンプルが過剰になると、意味のない小さな差まで「有意」と判断されてしまうこともあります。
目的に応じた"ちょうどよい規模"を見極めることが大切です。
Q6. ブーストやウェイト調整は難しいですか?
難しく考える必要はありません。ブーストとは特定の層を多めに回収する方法で、回収後に重み付け(ウェイト)をして全体構成比を戻します。
分析ツールやExcelの機能で簡単に計算できます。formrunでデータを整理しておくと、後処理もスムーズです。
調査の偏りを補正するための基本的なテクニックとして覚えておきましょう。




